Fig. 2
From: Households and food security: lessons from food secure households in East Africa

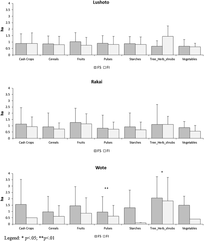
Land allocation across the sites by food secure and food insecure households
From: Households and food security: lessons from food secure households in East Africa

Land allocation across the sites by food secure and food insecure households